pgµç×Ó

pgµç×ÓÄ£ÄâÆ÷(ÖйúÓÎ)¹Ù·½ÍøÕ¾

Ä¿½ñλÖ㺠Ê×Ò³ > ÐÅÏ¢¹«¿ª > Í¨ÖªÍ¨¸æ

pgµç×Ó¼¯ÍÅ2019Äê¶È¹¤³ÌÊÖÒÕÖС¢³õ¼¶Ö°ÎñÈÎÖ°×ʸñÆÀÉóЧ¹û¹«Ê¾

pgµç×ÓÄ£ÄâÆ÷(ÖйúÓÎ)¹Ù·½ÍøÕ¾Ðû²¼Ê±¼ä£º2019-11-25 18:00

pgµç×ÓÄ£ÄâÆ÷(ÖйúÓÎ)¹Ù·½ÍøÕ¾ÈªÔ´£ººþ±±Ê¡ÁªºÏ¿ªÕ¹Í¶×ʼ¯ÍÅ

pgµç×ÓÄ£ÄâÆ÷(ÖйúÓÎ)¹Ù·½ÍøÕ¾µã»÷Á¿£º

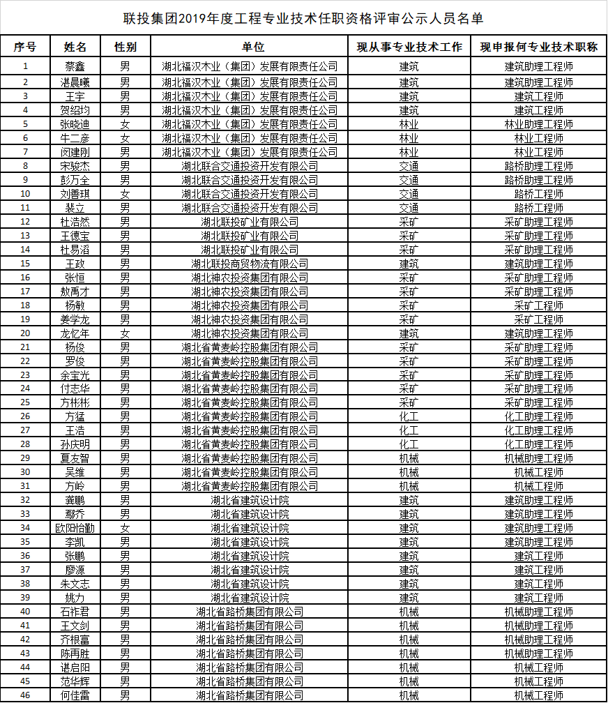
ƾ֤ºþ±±Ê¡ÁªºÏ¿ªÕ¹Í¶×ʼ¯ÍÅÓÐÏÞ¹«Ë¾¹¤³ÌÊÖÒÕÖм¶Ö°ÎñÈÎÖ°×ʸñÆÀÉóίԱ»á£¨ÒÔϼò³Æ¡°pgµç×Ó¼¯ÍÅÖÐÆÀί¡±£©ÊÂÇé°²ÅÅ£¬pgµç×Ó¼¯ÍÅÖÐÆÀίÒÑ×éÖ¯¿ªÕ¹ÁË2019Äê¶È¹¤³ÌÊÖÒÕÖС¢³õ¼¶Ö°ÎñÈÎÖ°×ʸñÆÀÉ󡣡£

±¾´ÎÖ°³ÆÆÀÉó¹²Éæ¼°ÐÞ½¨¡¢½»Í¨¡¢»úе¡¢Ë®ÀûµçÁ¦¡¢»¯¹¤¡¢²É¿ó¡¢ÁÖÒµÆß´óÀ࣬ÐÞ½¨¹¤³Ì¡¢ÊÐÕþ¹¤³Ì¡¢¹¤³ÌÖÎÀí¡¢¸øË®ÅÅË®¡¢ÐÞ½¨Éè¼Æ¡¢ÐÞ½¨½á¹¹¡¢ÐÞ½¨Ê©¹¤¡¢¹¤³ÌÔì¼Û¡¢ÑÒÍÁ¹¤³Ì¡¢Â·ÇÅ¡¢ÒDZí¡¢»úµç¡¢Ìô׫¿ó¡¢ÁÖѧ¡¢»¯¹¤¹¤ÒÕµÈ15¸öרҵ£¬184ÈËͨ¹ýÆÀÉó£¬ÏÖ½«ÉóºËÈ·ÈÏͨ¹ýÖ°Ô±£¨Ãûµ¥¸½ºó£©¾ÙÐй«Ê¾¡£¡£¹«Ê¾Ê±¼äΪ5Ì죨2019Äê11ÔÂ25ÈÕÖÁ11ÔÂ29ÈÕ£©¡£¡£¹«Ê¾Ê±´úÈç¶Ô¹«Ê¾Ð§¹ûÓÐÒìÒ飬¿Éͨ¹ýµç»°¡¢¶ÌÐÅ¡¢ÓÊÏ䷽ʽÏòpgµç×Ó¼¯Íʤ³ÌÊÖÒÕÖм¶Ö°ÎñÈÎÖ°×ʸñÆÀÉóίԱ»á·´Ó³¡£¡£·´Ó³ÇéÐÎÒª¼á³ÖʵÊÂÇóÊǵÄÔ­Ôò£¬ÒÔ±ãµ÷ÉóºËʵ¡£¡£

ÁªÏµµç»°£º027-81737765

ÓÊÏ䣺HR_ltjt@126.com

¸½¼þ£ºpgµç×Ó¼¯ÍÅ2019Äê¶È¹¤³ÌרҵÊÖÒÕÈÎÖ°×ʸñÆÀÉó¹«Ê¾Ö°Ô±Ãûµ¥



ºþ±±Ê¡ÁªºÏ¿ªÕ¹Í¶×ʼ¯ÍÅÓÐÏÞ¹«Ë¾

¹¤³ÌÊÖÒÕÖм¶Ö°ÎñÈÎÖ°×ʸñÆÀÉóίԱ»á

 2019Äê11ÔÂ25ÈÕ




¸½¼þ£º

pgµç×ÓÄ£ÄâÆ÷(ÖйúÓÎ)¹Ù·½ÍøÕ¾

pgµç×ÓÄ£ÄâÆ÷(ÖйúÓÎ)¹Ù·½ÍøÕ¾

pgµç×ÓÄ£ÄâÆ÷(ÖйúÓÎ)¹Ù·½ÍøÕ¾

pgµç×ÓÄ£ÄâÆ÷(ÖйúÓÎ)¹Ù·½ÍøÕ¾

¡¾ÍøÕ¾µØÍ¼¡¿